Issue 8, 2023

Model reactions for the evaluation of poly- and multifunctional molecules as potential interfacial agents for the compatibilization of polyethylene/poly(ethylene-co-vinyl alcohol) blends

Abstract

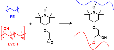
In aiming to identify an interfacial agent for polyethylene (PE)/poly(ethylene-co-vinyl alcohol) (EVOH) blends, which are the main components found in flexible food packaging, triallyl isocyanurate and a molecule bearing two (2,2,6,6-tetramethylpiperidin-1-yl)oxyl (TEMPO) groups were initially investigated with model molecules of targeted polymers, but the results were only moderate. The design of a suitable interfacial agent led to 4-glycidyl-2,2,6,6-tetramethylpiperidin-1-oxyl, which demonstrated covalent coupling of the TEMPO group with the model molecule of PE and the glycidyl group with the hydroxyl group of the model molecule of EVOH. This approach with model molecules could be a way to screen molecules that could have potential as interfacial agents to compatibilize polymers from materials that need to be upcycled.

Graphical abstract: Model reactions for the evaluation of poly- and multifunctional molecules as potential interfacial agents for the compatibilization of polyethylene/poly(ethylene-co-vinyl alcohol) blends

Supplementary files

Article information

Article type
Paper
Submitted
28 Nov 2022
Accepted
23 Jan 2023
First published
23 Jan 2023
This article is Open Access
Creative Commons BY-NC license

Polym. Chem., 2023,14, 934-942

Model reactions for the evaluation of poly- and multifunctional molecules as potential interfacial agents for the compatibilization of polyethylene/poly(ethylene-co-vinyl alcohol) blends

E. Gitzhofer, B. Vileno, M. Bouquey and D. Chan-Seng, Polym. Chem., 2023, 14, 934 DOI: 10.1039/D2PY01495E

This article is licensed under a Creative Commons Attribution-NonCommercial 3.0 Unported Licence. You can use material from this article in other publications, without requesting further permission from the RSC, provided that the correct acknowledgement is given and it is not used for commercial purposes.

To request permission to reproduce material from this article in a commercial publication, please go to the Copyright Clearance Center request page.

If you are an author contributing to an RSC publication, you do not need to request permission provided correct acknowledgement is given.

If you are the author of this article, you do not need to request permission to reproduce figures and diagrams provided correct acknowledgement is given. If you want to reproduce the whole article in a third-party commercial publication (excluding your thesis/dissertation for which permission is not required) please go to the Copyright Clearance Center request page.

Read more about how to correctly acknowledge RSC content.

Social activity

Spotlight

Advertisements