Troxerutin suppresses the inflammatory response in advanced glycation end-product-administered chondrocytes and attenuates mouse osteoarthritis development
Abstract
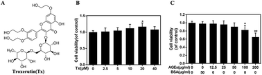
As a chronic degenerative joint disease, osteoarthritis (OA) is clinically characterized by a high incidence, long-term pain, and limited joint activity but without effective preventative therapy. Troxerutin (Tx) is a natural flavonoid, also called vitamin P4, which is widely present in plants consumed as part of our daily diet, such as cereals, various fruits and vegetables, tea, and coffee, and possesses various biological activities, especially an anti-inflammatory effect. Here, we aimed to investigate the potential chondroprotection of Tx in experimental OA development. In in vitro studies, human chondrocytes were isolated and exposed in advanced glycation end-products (AGEs) to simulate OA development. It was found that Tx pretreatment inhibited the AGE-induced production of pro-inflammatory factors in chondrocytes, such as cyclooxygenase-2 (COX-2), inducible nitric oxide synthase (iNOS), nitric oxide (NO), prostaglandin E2 (PGE2), tumor necrosis factor alpha (TNF-α), and interleukin-6 (IL-6). Meanwhile, AGE-medicated extracellular matrix (ECM) degradation was decreased in Tx-pretreated chondrocytes. Furthermore, we found that Tx pretreatment suppressed the activation of the nuclear factor kappa B (NF-κB) and mitogen-activated protein kinase (MAPK) pathways in AGE-exposed chondrocytes. In vivo, Tx treatment prevented the narrowing of the joint space, the calcification of cartilage, and the loss of proteoglycans in the mouse OA model. In brief, Tx is considered as a potential therapeutic agent for OA.

Please wait while we load your content...