Issue 41, 2025

Simultaneous enhancement of thermoelectric performance and mechanical properties in lead-free cubic GeTe-based composite materials

Abstract

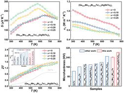
GeTe is a promising mid-temperature thermoelectric material that exhibits excellent thermoelectric performance. However, the rhombohedral-to-cubic phase transition occurring near 700 K causes a change in the coefficient of thermal expansion, leading to internal stresses in the device and affecting its working efficiency. In this work, we reported the alloying of Ge0.81Mn0.15Bi0.04Te with AgSbTe2 to further reduce the phase transition temperature and optimize thermoelectric performance. The co-doping of Ag and Mn increased the effective mass of the density of states, resulting in an enhancement of the Seebeck coefficient. Moreover, the lattice thermal conductivity decreased due to the combined effects of various phonon scattering mechanisms. After alloying with AgSbTe2, the average ZTave value increased to 1.18 from 300 K to 773 K in cubic (Ge0.81Mn0.15Bi0.04Te)0.8(AgSbTe2)0.2 and, simultaneously, the Vickers microhardness was enhanced from 243 HV to 283 HV.

Graphical abstract: Simultaneous enhancement of thermoelectric performance and mechanical properties in lead-free cubic GeTe-based composite materials

Supplementary files

Article information

Article type
Paper
Submitted
22 Aug 2025
Accepted
10 Sep 2025
First published
25 Sep 2025

J. Mater. Chem. A, 2025,13, 35284-35291

Simultaneous enhancement of thermoelectric performance and mechanical properties in lead-free cubic GeTe-based composite materials

Z. Xu, Z. Guo, P. Zhang, L. Wang, Y. Zhu, H. Wu, F. Guo, Y. Yang, L. Jiang, A. Kartsev, W. Cai, J. Sui and Z. Liu, J. Mater. Chem. A, 2025, 13, 35284 DOI: 10.1039/D5TA06837A

To request permission to reproduce material from this article, please go to the Copyright Clearance Center request page.

If you are an author contributing to an RSC publication, you do not need to request permission provided correct acknowledgement is given.

If you are the author of this article, you do not need to request permission to reproduce figures and diagrams provided correct acknowledgement is given. If you want to reproduce the whole article in a third-party publication (excluding your thesis/dissertation for which permission is not required) please go to the Copyright Clearance Center request page.

Read more about how to correctly acknowledge RSC content.

Social activity

Spotlight

Advertisements