Lite Version|Standard version

To gain access to this content please
Log in via your home Institution.
Log in with your member or subscriber username and password.
Download

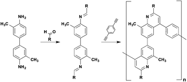
Polyquinolines have attracted attention as functional materials due to their excellent combination of optical, electrical, chemical, thermal, and mechanical properties. However, only a handful of synthetic routes for the preparation of these polymers have been established to date. Here, we demonstrate the preparation of polyquinolines via an AA/BB-type aza-Diels–Alder polymerization reaction. This approach requires only commercial starting materials and two straightforward synthetic steps to furnish the desired products in high yield. Overall, our modular and general route may afford new opportunities for the rational design and preparation of quinoline-based materials.

Graphical abstract: Synthesis of polyquinolines via an AA/BB-type aza-Diels–Alder polymerization reaction

Page: ^ Top