Issue 57, 2014

Crocrassins A and B: two novel sesquiterpenoids with an unprecedented carbon skeleton from Croton crassifolius

Abstract

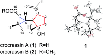
Crocrassins A (1) and B (2), two novel sesquiterpenoids with a unique skeleton, were isolated from a Chinese medicinal plant Croton crassifolius. Their structures were assigned on the basis of detailed spectroscopic analyses (especially HRESIMS and 2D NMR), and their absolute configuration was established via single-crystal X-ray diffraction studies as well as chemical transformation.

Graphical abstract: Crocrassins A and B: two novel sesquiterpenoids with an unprecedented carbon skeleton from Croton crassifolius

Supplementary files

Article information

Article type
Communication
Submitted
25 Apr 2014
Accepted
18 Jun 2014
First published
18 Jun 2014

RSC Adv., 2014,4, 30059-30061

Author version available

Crocrassins A and B: two novel sesquiterpenoids with an unprecedented carbon skeleton from Croton crassifolius

Z. Zhang, H. Li, F. Qi, L. Dong, Y. Hai, G. Fan and D. Fei, RSC Adv., 2014, 4, 30059 DOI: 10.1039/C4RA03798G

To request permission to reproduce material from this article, please go to the Copyright Clearance Center request page.

If you are an author contributing to an RSC publication, you do not need to request permission provided correct acknowledgement is given.

If you are the author of this article, you do not need to request permission to reproduce figures and diagrams provided correct acknowledgement is given. If you want to reproduce the whole article in a third-party publication (excluding your thesis/dissertation for which permission is not required) please go to the Copyright Clearance Center request page.

Read more about how to correctly acknowledge RSC content.

Social activity

Spotlight

Advertisements