Synthesis of natural 1-O-alkylglycerols: a study on the chemoselective opening of the epoxide ring by onium quaternary salts (N and P) and ionic liquids†
Abstract
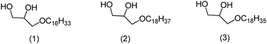
A chemoselective route for the synthesis of 1-O-alkylglycerols chimyl (1), batyl (2), and selachyl (3) is reported. These compounds can be naturally isolated from shark liver oil and the skin of animals such as stingrays and chimeras and exhibit potential anti-fouling activity. The synthetic approach developed in this work included two distinct methods of preparation. The first was based on solvent-free reactions catalyzed by onium quaternary salts (N and P) and ionic liquids; the second methodology was based on a series of one-pot reactions.

Please wait while we load your content...