Issue 3, 2015

Synthesis and the absolute configuration of both enantiomers of 4,5-dihydroxy-3-(formyl)cyclopent-2-enone acetonide as a new chiral building block for prostanoid synthesis

Abstract

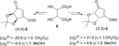
The synthesis of both enantiomers of 4,5-dihydroxy-3-(formyl)cyclopent-2-enone acetonide (5) was accomplished in five steps starting from meso-tartaric acid (6). The key steps involved are preparation of the isopropylidene protected 3-[(dimethoxyphosphoryl)methyl]-4,5-dihydroxycyclopent-2-enone (9), resolution of the diastereoisomeric products 10 of the Horner reaction of racemic 9 with (R)-glyceraldehyde acetonide and the final regioselective ozonolysis of the exocyclic carbon–carbon double bond of the separated dienones 10 leading to both enantiomeric title compounds 5. The absolute configuration of both enantiomers was initially assigned based on the comparison of the chiroptical properties obtained from the DFT calculations with the experimental data and finally confirmed by X-ray analysis.

Graphical abstract: Synthesis and the absolute configuration of both enantiomers of 4,5-dihydroxy-3-(formyl)cyclopent-2-enone acetonide as a new chiral building block for prostanoid synthesis

Supplementary files

Article information

Article type
Paper
Submitted
21 Jul 2014
Accepted
30 Oct 2014
First published
30 Oct 2014

Org. Biomol. Chem., 2015,13, 807-816

Author version available

Synthesis and the absolute configuration of both enantiomers of 4,5-dihydroxy-3-(formyl)cyclopent-2-enone acetonide as a new chiral building block for prostanoid synthesis

B. Łukasik, M. Mikołajczyk, G. Bujacz and R. Żurawiński, Org. Biomol. Chem., 2015, 13, 807 DOI: 10.1039/C4OB01535E

To request permission to reproduce material from this article, please go to the Copyright Clearance Center request page.

If you are an author contributing to an RSC publication, you do not need to request permission provided correct acknowledgement is given.

If you are the author of this article, you do not need to request permission to reproduce figures and diagrams provided correct acknowledgement is given. If you want to reproduce the whole article in a third-party publication (excluding your thesis/dissertation for which permission is not required) please go to the Copyright Clearance Center request page.

Read more about how to correctly acknowledge RSC content.

Social activity

Spotlight

Advertisements