Supramolecular chirality in self-assembled peptide amphiphile nanostructures†
Abstract
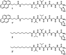
Induced supramolecular chirality was investigated in the self-assembled peptide amphiphile (PA) nanosystems. Having shown that peptide chirality can be transferred to the covalently-attached achiral pyrene moiety upon PA self-assembly, the chiral information is transferred to molecular pyrene via weak noncovalent interactions. In the first design of a supramolecular chiral system, the chromophore was covalently attached to a peptide sequence (VVAGH) via an ε-aminohexanoic acid spacer. Covalent attachment yielded a PA molecule self-assembling into nanofibers. In the second design, the chromophore was encapsulated within the hydrophobic core of self-assembled nanofibers of another PA consisting of the same peptide sequence attached to lauric acid. We observed that supramolecular chirality was induced in the chromophore by PA assembly into chiral nanostructures, whether it was covalently attached, or noncovalently bound.
Please wait while we load your content...