Abnormal oxazol-4-ylidene and thiazol-4-ylidene rhodium complexes: synthesis, structure, and properties†
Abstract
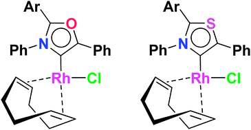
A series of new 2,3,5-triaryl-substituted oxazolium and thiazolium salts are readily prepared by a Tf2O-mediated intramolecular
* Corresponding authors
a
Key Laboratory for Advanced Materials and Institute of Fine Chemicals, School of Chemistry & Molecular Engineering, East China University of Science and Technology, 130 Mei Long Road, Shanghai 200237, China
E-mail:
zhangj@ecust.edu.cn
Tel: +86 021 64252995
b
State Key Laboratory of Organometallic Chemistry, Shanghai Institute of Organic Chemistry, Chinese Academy of Sciences, 354 Fenglin Road, Shanghai 200032, China
E-mail:
mshi@mail.sioc.ac.cn
Tel: +86 021 64252995
A series of new 2,3,5-triaryl-substituted oxazolium and thiazolium salts are readily prepared by a Tf2O-mediated intramolecular
Please wait while we load your content...
Something went wrong. Try again?
J. Zhang, J. Fu, X. Su, X. Qin, M. Zhao and M. Shi, Chem. Commun., 2012, 48, 9625 DOI: 10.1039/C2CC35020C
To request permission to reproduce material from this article, please go to the Copyright Clearance Center request page.
If you are an author contributing to an RSC publication, you do not need to request permission provided correct acknowledgement is given.
If you are the author of this article, you do not need to request permission to reproduce figures and diagrams provided correct acknowledgement is given. If you want to reproduce the whole article in a third-party publication (excluding your thesis/dissertation for which permission is not required) please go to the Copyright Clearance Center request page.
Read more about how to correctly acknowledge RSC content.
Fetching data from CrossRef.
This may take some time to load.
Loading related content