Room temperature quantum coherence vs. electron transfer in a rhodanine derivative chromophore
Abstract
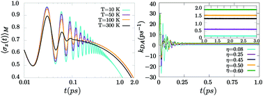
Understanding electron transfer in organic molecules is of great interest in quantum materials for light harvesting, energy conversion and integration of molecules into solar cells. This, however, poses the challenge of designing specific optimal molecular structure for which the processes of ultrafast quantum coherence and electron transport are not so well understood. In this work, we investigate subpicosecond time scale quantum dynamics and electron transfer in an efficient electron acceptor rhodanine chromophoric complex. We consider an open quantum system approach to model the complex–solvent interaction, and compute the crossover from weak to strong dissipation on the reduced system dynamics for both a polar (methanol) and a non polar solvent (toluene). We show that the electron transfer rates are enhanced in the strong chromophore–solvent coupling regime, being the highest transfer rates those found at room temperature. Even though the computed dynamics are highly non-Markovian, and they may exhibit a quantum character up to hundreds of femtoseconds, we show that quantum coherence does not necessarily optimise the electron transfer in the chromophore.
- This article is part of the themed collection: PCCP Editor’s Choice, 2020

Please wait while we load your content...