Understanding the formation of the metastable ferroelectric phase in hafnia–zirconia solid solution thin films†
Abstract
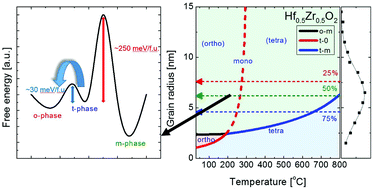
Hf1−xZrxO2 (x ∼ 0.5–0.7) has been the leading candidate of ferroelectric materials with a fluorite crystal structure showing highly promising compatibility with complementary metal oxide semiconductor devices. Despite the notable improvement in device performance and processing techniques, the origin of its ferroelectric crystalline phase (space group: Pca21) formation has not been clearly elucidated. Several recent experimental and theoretical studies evidently showed that the interface and grain boundary energies of the higher symmetry phases (orthorhombic and tetragonal) contribute to the stabilization of the metastable non-centrosymmetric orthorhombic phase or tetragonal phase. However, there was a clear quantitative discrepancy between the theoretical expectation and experiment results, suggesting that the thermodynamic model may not provide the full explanation. This work, therefore, focuses on the phase transition kinetics during the cooling step after the crystallization annealing. It was found that the large activation barrier for the transition from the tetragonal/orthorhombic to the monoclinic phase, which is the stable phase at room temperature, suppresses the phase transition, and thus, plays a critical role in the emergence of ferroelectricity.
- This article is part of the themed collection: Nanoscale 10th Anniversary: Top Authors

Please wait while we load your content...