Issue 46, 2012

Enantio- and periselective nitroalkene Diels–Alder reaction

Abstract

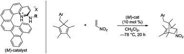
The periselective Diels–Alder reaction of 5-substituted pentamethylcyclopentadienes and nitroethylene has been realized by helical–chiral hydrogen bond donor catalysts. To our knowledge, this represents the first asymmetric catalytic nitroalkene Diels–Alder reaction via activation of nitroalkene, and thus establishes its proof-of-principle.

Graphical abstract: Enantio- and periselective nitroalkene Diels–Alder reaction

Supplementary files

Article information

Article type
Communication
Submitted
24 Aug 2012
Accepted
10 Oct 2012
First published
11 Oct 2012

Org. Biomol. Chem., 2012,10, 9134-9136

Enantio- and periselective nitroalkene Diels–Alder reaction

M. J. Narcis, D. J. Sprague, B. Captain and N. Takenaka, Org. Biomol. Chem., 2012, 10, 9134 DOI: 10.1039/C2OB26674A

To request permission to reproduce material from this article, please go to the Copyright Clearance Center request page.

If you are an author contributing to an RSC publication, you do not need to request permission provided correct acknowledgement is given.

If you are the author of this article, you do not need to request permission to reproduce figures and diagrams provided correct acknowledgement is given. If you want to reproduce the whole article in a third-party publication (excluding your thesis/dissertation for which permission is not required) please go to the Copyright Clearance Center request page.

Read more about how to correctly acknowledge RSC content.

Social activity

Spotlight

Advertisements