Lite Version|Standard version

Download

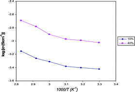
Polymer electrolytes based on poly(vinylidenefluoride-hexafluoropropylene) (PVdF-HFP) as the polymer host, lithium trifluoromethanesulfonate (LiTf) as the salt and ethylene carbonate (EC) as the plasticizer, has been prepared by a solution casting technique. Addition of LiTf resulted in an increase in the electrical conductivity of polymer. EC will act to increase the degree of salt dissociation and also ionic mobility. The highest ionic conductivity achieved at room temperature was for PVdF-HFP + LiTf : EC (60 : 40) with the conductivity ∼10−3 S cm−1. The conductivity of the polymer electrolyte increases with the increase in amount of plasticizer. The interaction of the PVdF-HFP, LiTf and EC were analyzed by Fourier transform infared (FTIR). The temperature dependent conductivity, frequency dependent conductivity, dielectric permittivity (ε/) and modulus (M/) studies were carried out. Thermo gravimetric analysis (TGA) reveals that the thermal stability of polymer electrolytes decreases with the increase in EC content.

Graphical abstract: Effect of ethylene carbonate on the ionic conduction in poly(vinylidenefluoride-hexafluoropropylene) based solid polymer electrolytes

Page: ^ Top