Surface diffusion within the Caldeira–Leggett formalism
Abstract
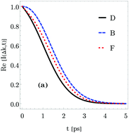
Surface diffusion is described in terms of the intermediate scattering function in the time domain and reciprocal space. Two extreme time regimes are analyzed, ballistic (very short times) and Brownian or diffusive (very long times). This open dynamics is studied from the master equation for the reduced density matrix within the Caldeira–Leggett formalism. Several characteristic magnitudes in this decoherence process such as the coherence length, ensemble width and purity of the density matrix are analyzed. Furthermore, for flat surfaces, the surface diffusion is considered for the Schrödinger cat states and identical adsorbates or adparticles, bosons and fermions. The analytical results are compared with those issued from solving the Lindblad master equation through the stochastic wave function method. This numerical analysis is extended to be applied to corrugated surfaces.
- This article is part of the themed collection: New Trends and Challenges in Surface Phenomena, Carbon Nanostructures and Helium Droplets
 
                




 Please wait while we load your content...
                                            Please wait while we load your content...
                                        
