Issue 4, 2019

Synthesis of saccharocin from apramycin and evaluation of its ribosomal selectivity

Abstract

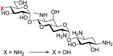
We describe a straightforward synthesis of the apramycin biosynthetic precursor saccharocin from apramycin by regioselective partial azidation followed by stereoretentive oxidative deamination. Saccharocin was found to exhibit excellent selectivity for inhibition of the bacterial ribosome over the eukaryotic ribosomes indicating that its presence as a minor impurity in apramycin itself should not be problematic in the development of the latter as a clinical candidate.

Graphical abstract: Synthesis of saccharocin from apramycin and evaluation of its ribosomal selectivity

Supplementary files

Article information

Article type
Research Article
Submitted
13 Feb 2019
Accepted
08 Mar 2019
First published
13 Mar 2019

Med. Chem. Commun., 2019,10, 554-558

Synthesis of saccharocin from apramycin and evaluation of its ribosomal selectivity

V. A. Sarpe, M. G. Pirrone, K. Haldimann, S. N. Hobbie, A. Vasella and D. Crich, Med. Chem. Commun., 2019, 10, 554 DOI: 10.1039/C9MD00093C

To request permission to reproduce material from this article, please go to the Copyright Clearance Center request page.

If you are an author contributing to an RSC publication, you do not need to request permission provided correct acknowledgement is given.

If you are the author of this article, you do not need to request permission to reproduce figures and diagrams provided correct acknowledgement is given. If you want to reproduce the whole article in a third-party publication (excluding your thesis/dissertation for which permission is not required) please go to the Copyright Clearance Center request page.

Read more about how to correctly acknowledge RSC content.

Spotlight

Advertisements