Crystallization-integrated mandelate racemase-catalyzed dynamic kinetic resolution of racemic mandelic acid†
Abstract
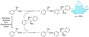
Classical approaches for the preparation of enantiopure mandelic acid conventionally employ chiral resolution methods like diastereomeric crystallization or kinetic resolution. Those are, however, limited by their theoretical yield of 50% of the utilized racemate. Dynamic kinetic resolution solves this challenge by the addition of a racemization step for the unprocessed enantiomer, maximizing yields. For mandelic acid, a special enzyme class of mandelate racemases can perform this racemization step. In this study, we combine enzymatic racemization of mandelic acid with diastereomeric salt crystallization of (R)-mandelic acid to achieve a chemoenzymatic dynamic kinetic resolution of mandelic acid at mild conditions in water.
- This article is part of the themed collection: Reaction Chemistry & Engineering Open Access Spotlight 2025

Please wait while we load your content...