A new route to tricyclane sesquiterpenoids: total synthesis of α-ekasantalic acid†
Abstract
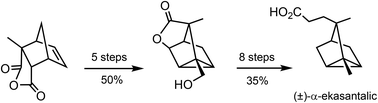
Chemical manipulation of the cycloadduct of citraconic anhydride and cyclopentadiene enables a new synthetic route to tricyclane sesquiterpenoids. This methodology is applied to the first total synthesis of α-ekasantalic acid.
- This article is part of the themed collection: Total synthesis in OBC

Please wait while we load your content...