Crystal structure, magnetotransport properties, and electronic band structure of V1−xTixSe2 single crystals†
Abstract
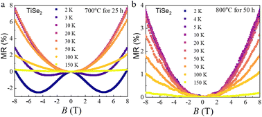
We fabricated full spectrum V1−xTixSe2 samples (0 ≤ x ≤ 1) and systematically studied their crystal structure and electrical properties and their band structure. Ti was found by X-ray diffraction to substitute for V atoms. Our results show that the electrical properties of V1−xTixSe2 are highly tunable, suggesting a promising application in future electronic devices. In addition, we have observed weak localization in VSe2 and TiSe2 single crystals, and the strength of weak localization can be modulated by the defect density. The charge density wave transition for both pure samples, TiSe2 and VSe2, is significantly suppressed by doping. Band structure calculations on a subset of V1−xTixSe2 compositions are in line with the experimental observations.
- This article is part of the themed collection: Nanomaterials for a sustainable future: From materials to devices and systems

Please wait while we load your content...