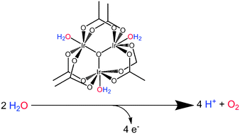
Abstract
The catalytic water-
- This article is part of the themed collection: Artificial Photosynthesis
* Corresponding authors
a
Yale University, Department of Chemistry, PO Box 208107, New Haven, Connecticut 06520-8107, USA
E-mail:
gary.brudvig@yale.edu, robert.crabtree@yale.edu
Fax: +1 203 432-6144
Tel: +1 203 432-5202
The catalytic water-
A. R. Parent, J. D. Blakemore, G. W. Brudvig and R. H. Crabtree, Chem. Commun., 2011, 47, 11745 DOI: 10.1039/C1CC15501F
To request permission to reproduce material from this article, please go to the Copyright Clearance Center request page.
If you are an author contributing to an RSC publication, you do not need to request permission provided correct acknowledgement is given.
If you are the author of this article, you do not need to request permission to reproduce figures and diagrams provided correct acknowledgement is given. If you want to reproduce the whole article in a third-party publication (excluding your thesis/dissertation for which permission is not required) please go to the Copyright Clearance Center request page.
Read more about how to correctly acknowledge RSC content.
Fetching data from CrossRef.
This may take some time to load.
Loading related content