Issue 39, 2022

Vancomycin mimicry: towards new supramolecular antibiotics

Abstract

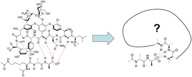
Vancomycin is the best-known of the glycopeptide group antibiotics (GPAs), a family of agents which operate by binding the C-terminal deptide D-Ala–D-Ala. This anionic epitope is an interesting target because it plays a central role in bacterial cell wall synthesis, and is not readily modified by evolution. Accordingly, vancomycin has been in use for >60 years but has only provoked limited resistance. Agents which mimic vancomycin but are easier to synthesise and modify could serve as valuable weapons against pathogenic bacteria, broadening the scope of the GPAs and addressing the resistance that does exist. This article gives an overview of vancomycin's structure and action, surveys past work on vancomycin mimicry, and makes the case for renewed effort in the future.

Graphical abstract: Vancomycin mimicry: towards new supramolecular antibiotics

Article information

Article type
Review Article
Submitted
29 Jul 2022
Accepted
16 Sep 2022
First published
27 Sep 2022
This article is Open Access
Creative Commons BY license

Org. Biomol. Chem., 2022,20, 7694-7712

Vancomycin mimicry: towards new supramolecular antibiotics

A. J. Flint and A. P. Davis, Org. Biomol. Chem., 2022, 20, 7694 DOI: 10.1039/D2OB01381A

This article is licensed under a Creative Commons Attribution 3.0 Unported Licence. You can use material from this article in other publications without requesting further permissions from the RSC, provided that the correct acknowledgement is given.

Read more about how to correctly acknowledge RSC content.

Social activity

Spotlight

Advertisements