Issue 13, 2017

Low temperature total oxidation of toluene by bimetallic Au–Ir catalysts

Abstract

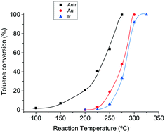
Bimetallic gold–iridium catalysts present a synergetic activity effect on the total oxidation of volatile organic compounds (e.g. toluene) with respect to their monometallic counterparts, leading to catalytic activity at lower temperatures. The enhancement of activity is facilitated by the intimate contact of the iridium and gold species, which modifies the electronic environment of the active sites, assisting in the oxygen activation at lower temperatures. In addition, the bimetallic system shows a considerably stronger metal–support interaction capable of diminishing the detrimental loss of activity associated with metal sintering at high reaction temperatures, in contrast to the monometallic cases whose activities are greatly lost. This paper contributes to the understanding of the key factors behind high activity and good stability of catalysts to achieve the low temperature activity of VOC compounds in air pollution remediation applications.

Graphical abstract: Low temperature total oxidation of toluene by bimetallic Au–Ir catalysts

Supplementary files

Article information

Article type
Paper
Submitted
01 Apr 2017
Accepted
23 May 2017
First published
24 May 2017

Catal. Sci. Technol., 2017,7, 2886-2896

Low temperature total oxidation of toluene by bimetallic Au–Ir catalysts

L. Torrente-Murciano, B. Solsona, S. Agouram, R. Sanchis, J. M. López, T. García and R. Zanella, Catal. Sci. Technol., 2017, 7, 2886 DOI: 10.1039/C7CY00635G

To request permission to reproduce material from this article, please go to the Copyright Clearance Center request page.

If you are an author contributing to an RSC publication, you do not need to request permission provided correct acknowledgement is given.

If you are the author of this article, you do not need to request permission to reproduce figures and diagrams provided correct acknowledgement is given. If you want to reproduce the whole article in a third-party publication (excluding your thesis/dissertation for which permission is not required) please go to the Copyright Clearance Center request page.

Read more about how to correctly acknowledge RSC content.

Social activity

Spotlight

Advertisements