Size-dependent upconversion luminescence and temperature sensing behavior of spherical Gd2O3:Yb3+/Er3+ phosphor
Abstract
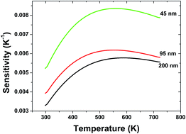
Yb3+/Er3+ codoped spherical Gd2O3 phosphors with different particle sizes were prepared via a urea-assisted homogeneous precipitation process by adjusting the molar ratio of rare earth ions and urea followed by annealing at high temperature. The phases, morphologies, and luminescence properties of the as-prepared samples were characterized by X-ray diffraction (XRD), field emission scanning electron microscopy (FE-SEM), and upconversion luminescence (UCL) spectra, respectively. The spherical Gd2O3:Yb3+/Er3+ phosphors showed size-dependent upconversion luminescence properties under the excitation of 980 nm-laser. The temperature sensing behavior of spherical Gd2O3:Yb3+/Er3+ phosphors with different particle sizes was studied based on the change of emission intensities from two thermally coupled 2H11/2 and 4S3/2 levels. It is interesting to observe that the sensing sensitivity of the sample increases with decreasing particle size and a sensitivity of 84 × 10−4 K−1 was obtained for the sample with a particle size of 45 nm. Finally, Judd–Ofelt theory was used for explaining and predicting the effect of particle size on sensing sensitivity.
- This article is part of the themed collection: RSC Advances Editors' collection: f Block Chemistry
Please wait while we load your content...