Issue 17, 2002

Synthesis and crystal structure of [26,27-2H6] 24-epi-cathasterone

Abstract

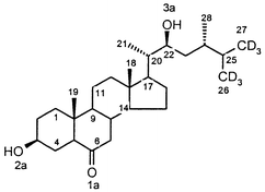
The first synthesis of [26,27-2H6]24-epi-cathasterone 8via (20S)-3β-acetoxy-6,6-(ethylenedioxy)-20-formyl-5α-pregnane 5 starting from stigmasterol is described. The aldehyde 5 was alkylated with lithium butyldimethyl-(E)-2,3-dimethyl[3,3,3,4,4,4-2H6]butenylaluminate 6 prepared from 3-[2H3]methyl[4,4,4-2H3]but-1-yne. The structure was determined using spectral data and X-ray crystallographic analysis.

Graphical abstract: Synthesis and crystal structure of [26,27-2H6] 24-epi-cathasterone

Supplementary files

Article information

Article type
Paper
Submitted
04 Apr 2002
Accepted
05 Jul 2002
First published
06 Aug 2002

J. Chem. Soc., Perkin Trans. 1, 2002, 2022-2027

Synthesis and crystal structure of [26,27-2H6] 24-epi-cathasterone

A. Kolbe, P. Fuchs, A. Porzel, U. Baumeister, A. Kolbe and G. Adam, J. Chem. Soc., Perkin Trans. 1, 2002, 2022 DOI: 10.1039/B203323B

To request permission to reproduce material from this article, please go to the Copyright Clearance Center request page.

If you are an author contributing to an RSC publication, you do not need to request permission provided correct acknowledgement is given.

If you are the author of this article, you do not need to request permission to reproduce figures and diagrams provided correct acknowledgement is given. If you want to reproduce the whole article in a third-party publication (excluding your thesis/dissertation for which permission is not required) please go to the Copyright Clearance Center request page.

Read more about how to correctly acknowledge RSC content.

Spotlight

Advertisements