Issue 3, 2002

Intramolecular Diels–Alder reaction of cyclopenta-1,3-diene derivatives generated in situ from 4-(pent-4-enyl)cyclopent-2-enone ethylene ketals

Abstract

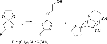
Intramolecular Diels–Alder reaction of cyclopenta-1,3-diene derivatives 16 generated in situ from the corresponding 4-(pent-4-enyl)cyclopent-2-enone ethylene ketals 15 is investigated. 4-[(E)-5-(Ethoxycarbonyl)pent-4-enyl]cyclopent-2-enone ethylene ketal 15a and 4-(5,5-dicyanopent-4-enyl)cyclopent-2-enone ethylene ketal 15b were prepared in 5 steps from cyclopent-2-enone ethylene ketal 5. Upon heating at 120 °C, compound 15a undergoes intramolecular Diels–Alder reaction via the 4-substituted cyclopenta-1,3-dien-2-yl enol ether 17a to produce tricyclo[5.2.1.0]decan-8-one derivative 19a as the sole product. On the other hand, 15b undergoes intramolecular Diels–Alder reaction at the same temperature via the 5-substituted cyclopenta-1,3-dien-2-yl enol ether 16b to give tricyclo[4.4.0.0]decan-10-one derivative 18b as the major product. The molecular structures of these cyclization products are unequivocally elucidated by X-ray crystallographic analyses. The latter reaction represents, to our knowledge, the first direct trapping of 5-substituted cyclopenta-1,3-diene derivative having a simple three-carbon tether by Diels–Alder cyclization prior to isomerization by 1,5-hydrogen migration.

Graphical abstract: Intramolecular Diels–Alder reaction of cyclopenta-1,3-diene derivatives generated in situ from 4-(pent-4-enyl)cyclopent-2-enone ethylene ketals

Supplementary files

Article information

Article type
Paper
Submitted
31 Oct 2001
Accepted
29 Nov 2001
First published
08 Jan 2002

J. Chem. Soc., Perkin Trans. 1, 2002, 366-370

Intramolecular Diels–Alder reaction of cyclopenta-1,3-diene derivatives generated in situ from 4-(pent-4-enyl)cyclopent-2-enone ethylene ketals

M. Ohkita, H. Kawai and T. Tsuji, J. Chem. Soc., Perkin Trans. 1, 2002, 366 DOI: 10.1039/B109614A

To request permission to reproduce material from this article, please go to the Copyright Clearance Center request page.

If you are an author contributing to an RSC publication, you do not need to request permission provided correct acknowledgement is given.

If you are the author of this article, you do not need to request permission to reproduce figures and diagrams provided correct acknowledgement is given. If you want to reproduce the whole article in a third-party publication (excluding your thesis/dissertation for which permission is not required) please go to the Copyright Clearance Center request page.

Read more about how to correctly acknowledge RSC content.

Spotlight

Advertisements