Issue 5, 2025

Crystallization-integrated mandelate racemase-catalyzed dynamic kinetic resolution of racemic mandelic acid

Abstract

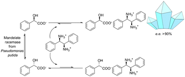
Classical approaches for the preparation of enantiopure mandelic acid conventionally employ chiral resolution methods like diastereomeric crystallization or kinetic resolution. Those are, however, limited by their theoretical yield of 50% of the utilized racemate. Dynamic kinetic resolution solves this challenge by the addition of a racemization step for the unprocessed enantiomer, maximizing yields. For mandelic acid, a special enzyme class of mandelate racemases can perform this racemization step. In this study, we combine enzymatic racemization of mandelic acid with diastereomeric salt crystallization of (R)-mandelic acid to achieve a chemoenzymatic dynamic kinetic resolution of mandelic acid at mild conditions in water.

Graphical abstract: Crystallization-integrated mandelate racemase-catalyzed dynamic kinetic resolution of racemic mandelic acid

Supplementary files

Article information

Article type
Paper
Submitted
25 Nov 2024
Accepted
12 Feb 2025
First published
18 Feb 2025
This article is Open Access
Creative Commons BY license

React. Chem. Eng., 2025,10, 1145-1153

Crystallization-integrated mandelate racemase-catalyzed dynamic kinetic resolution of racemic mandelic acid

F. Belov, A. Lieb and J. von Langermann, React. Chem. Eng., 2025, 10, 1145 DOI: 10.1039/D4RE00576G

This article is licensed under a Creative Commons Attribution 3.0 Unported Licence. You can use material from this article in other publications without requesting further permissions from the RSC, provided that the correct acknowledgement is given.

Read more about how to correctly acknowledge RSC content.

Social activity

Spotlight

Advertisements