A chiral MOF membrane for enantioselective amino acid separation†
Abstract
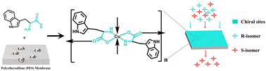
A chiral metal–organic framework membrane was constructed through coordination between copper ions and R/S-tryptophan. The membrane exhibits exceptional enantioselectivity towards amino acids (ee value: 99.38%) through synergistic effects of hydrogen bonding and spatial hindrance. This strategy demonstrates the potential of amino acid-based chiral centers for high-performance separation membranes.
- This article is part of the themed collection: Emerging Trends in Advanced Functional Porous Materials
 
                




 Please wait while we load your content...
                                            Please wait while we load your content...
                                        