Issue 27, 2016

Synthesis of two ‘heteroaromatic rings of the future’ for applications in medicinal chemistry

Abstract

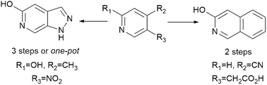
In a computational study, the 1H-pyrazolo[3,4-c]pyridin-5-ol and 2,6-naphthyridin-3-ol heterocycles were identified as unknown heteroaromatic ring systems of potential value for medicinal chemistry. Here we report robust and concise synthetic protocols that provide access to these two scaffolds on a multigram scale.

Graphical abstract: Synthesis of two ‘heteroaromatic rings of the future’ for applications in medicinal chemistry

Supplementary files

Article information

Article type
Communication
Submitted
13 Jan 2016
Accepted
19 Feb 2016
First published
22 Feb 2016

RSC Adv., 2016,6, 22777-22780

Synthesis of two ‘heteroaromatic rings of the future’ for applications in medicinal chemistry

P. E. Silva Júnior, L. C. D. Rezende, J. P. Gimenes, V. G. Maltarollo, J. Dale, G. H. G. Trossini, F. S. Emery and A. Ganesan, RSC Adv., 2016, 6, 22777 DOI: 10.1039/C6RA01099G

To request permission to reproduce material from this article, please go to the Copyright Clearance Center request page.

If you are an author contributing to an RSC publication, you do not need to request permission provided correct acknowledgement is given.

If you are the author of this article, you do not need to request permission to reproduce figures and diagrams provided correct acknowledgement is given. If you want to reproduce the whole article in a third-party publication (excluding your thesis/dissertation for which permission is not required) please go to the Copyright Clearance Center request page.

Read more about how to correctly acknowledge RSC content.

Social activity

Spotlight

Advertisements