Small-molecule activation at Au(iii): metallacycle construction from ethylene, water, and acetonitrile†
Abstract
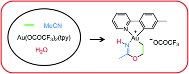
Incorporation of the simple, readily available, building blocks ethylene, water and acetonitrile into Au(tpy)(OCOCF3)2 (tpy = 2-(p-tolyl)pyridine) in a one-step reaction leads to high yields of a new 6-membered ring gold(III) metallacycle complex. The metallacycle has been characterized spectroscopically and crystallographically, and the mechanism of its formation has been investigated with the aid of DFT calculations.
- This article is part of the themed collection: Small Molecule Activation
 
                



 Please wait while we load your content...
                                            Please wait while we load your content...
                                        
