A study of the density of states of ZnCoO:H from resistivity measurements†
Abstract
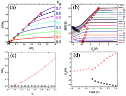
Understanding the electronic band structure and density of states (DOS) of a material and their relationship to the associated electronic transport properties is the starting point for optimizing the performance of a device and its technological applications. In a hydrogenated Zn0.8Co0.2O (ZnCoO:H) film with an inverted thin-film transistor structure, we found ambipolar behavior, which is shown in many field-effect devices based on graphene, graphene nanoribbons, and organic semiconductors. In this study, to obtain information on the DOS of ZnCoO:H to explain the ambipolar behavior in terms of the carrier density and type, resistivity and magnetoresistance measurements of a ZnCoO:H film were performed at 5 K. Our proposed DOS representation of ZnCoO:H explains qualitatively the experimental observations of carrier density modulation and ambipolar behavior. First-principles calculations of the DOS of ZnCoO:H were in good agreement with the proposed DOS representation. Through a comparison of first-principles calculations and experimental data, evidence for the existence of Co–H–Co in ZnCoO:H is suggested.

Please wait while we load your content...