A synergistic effect of metal iodide doping on the thermoelectric properties of Bi2Te3†
Abstract
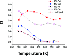
In this study, a series of bismuth telluride (Bi2Te3) samples doped with a metal iodide (MI; M = Cu, Cs, K) were successfully prepared by the conventional solid-state reaction. The electron and thermal transport properties, i.e., electrical conductivity, carrier concentration, Hall mobility, Seebeck coefficient, and thermal conductivity, of MI-doped Bi2Te3 were measured in the temperature range of 300–650 K to understand the effect of metal iodide doping on the thermoelectric performance of Bi2Te3. The microstructure and morphologies of MI-doped Bi2Te3 were investigated by powder X-ray diffraction and high resolution transmission electron microscopy. The electrical conductivity increases with increasing MI contents due to the co-doping effect of metal and iodide. This value is much higher than that of Bi2Te3 doped with Cu prepared under the same experimental conditions. All the MI doped samples exhibit n-type conduction. The HR-TEM images of MI-doped Bi2Te3 samples reveal that all systems contain compositional fluctuations at the nanoscopic level, which suppress the thermal conductivity. Among metal iodides, the CuI dopant was very effective in improving the electrical conductivity and Seebeck coefficient, and suppressing the thermal conductivity, thus enhancing ZT. A significant increase in power factor (43 μW cm−1 K−2 at 368 K) accompanied by the reduction in thermal conductivity (1.23 W m−1 K−1 at 368 K) resulted in a higher ZT of (CuI)0.01Bi2Te3 than those of undoped Bi2Te3 and Cu0.07Bi2Te3.

Please wait while we load your content...