Catalytic asymmetric synthesis of 3-hydroxyoxindole: a potentially bioactive molecule
Abstract
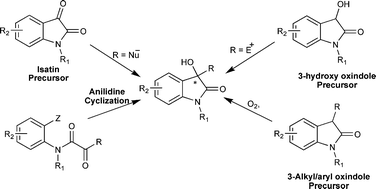
The recent emergence of biological activities of chiral 3-substituted-3-hydroxy-2-oxindoles has inspired synthetic chemists to develop new methodologies for their synthesis. Both chiral organocatalysts and organometallic
- This article is part of the themed collection: Asymmetric catalysis
Please wait while we load your content...