Probing cage dynamics in concentrated hard-sphere suspensions and glasses with high frequency rheometry†
Abstract
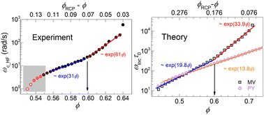
The cage concept, a central microscopic mechanism for glassy dynamics, has been utilized in concentrated colloidal suspensions to describe a number of phenomena. Here, we probe the evolution of cage formation and shear elasticity with increasing volume fraction in hard sphere suspensions, with emphasis on the short-time dynamics. To this end, we utilize linear viscoelastic (LVE) measurements, by means of conventional rotational rheometers and a home-made HF piezo-rheometer, to probe the dynamic response over a broad range of volume fractions up to the very dense glassy regime in proximity to random close packing. We focus on the LVE spectra and times shorter than those corresponding to the dynamic shear modulus G′ plateau, where the system approaches transient localization and cage confinement. At these short times (higher frequencies), a dynamic cage has not yet fully developed and particles are not (strictly) transiently localized. This corresponds to an effective solid-to-liquid transition in the LVE spectrum (dynamic moduli) marked by a high frequency (HF) crossover. On the other hand, as the volume fraction increases caging becomes tighter, particles become more localized, and the onset of the localization time scale becomes shorter. This onset of transient localization to shorter times shifts the HF crossover to higher values. Therefore, the study of the dependence of the HF crossover properties (frequency and moduli) on volume fractions provides direct insights concerning the onset of particle in-cage motion and allows direct comparison with current theoretical models. We compare the experimental data with predictions of a microscopic statistical mechanical theory where qualitative and quantitative agreements are found. Findings include the discovery of microscopic mechanisms for the crossover between the two exponential dependences of the onset of the localization time scale and the elastic shear modulus at high volume fractions as a consequence of emergent many body structural correlations and their consequences on dynamic constraints. Moreover, an analytic derivation of the relationship between the high frequency localized short-time scale and the elastic shear modulus is provided which offers new physical insights and explains why these two variables are experimentally observed to exhibit nearly-identical behaviors.
- This article is part of the themed collections: Soft Matter Open Access Spotlight and Colloidal interactions, dynamics and rheology

Please wait while we load your content...