Organoboron synthesis via ring opening coupling reactions
Abstract
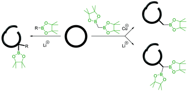
One of the most atom economical synthesis reactions of organoboron compounds can be achieved by addition reactions of boron reagents to unsaturated substrates. However, when the addition reaction takes place via carbanions promoting ring opening coupling reactions, the selective cleavage of the inherent bonds and the generation of new C–C bonds warrant the selective synthesis of organoboron systems with total efficiency. Here we describe new trends towards the selective synthesis of organoboron compounds where boron reagents and cyclic substrates participate in the generation of carbanions, in the presence of stoichiometric amounts of main-group metals or catalytic amounts of transition metal complexes, via ring opening coupling transformations. The generality and limitations of these new protocols are discussed.
- This article is part of the themed collections: Synthetic methodology in OBC and Trends in Organoboron Chemistry

Please wait while we load your content...