Issue 14, 2016

High quality reduced graphene oxide flakes by fast kinetically controlled and clean indirect UV-induced radical reduction

Abstract

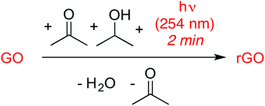
This work highlights a surprisingly simple and kinetically controlled highly efficient indirect method for the production of high quality reduced graphene oxide (rGO) flakes via UV irradiation of aqueous dispersions of graphene oxide (GO), in which the GO is not excited directly. While the direct photoexcitation of aqueous GO (when GO is the only light-absorbing component) takes several hours of reaction time at ambient temperature (4 h) leading only to a partial GO reduction, the addition of small amounts of isopropanol and acetone (2% and 1%) leads to a dramatically shortened reaction time by more than two orders of magnitude (2 min) and a very efficient and soft reduction of graphene oxide. This method avoids the formation of non-volatile species and in turn contamination of the produced rGO and it is based on the highly efficient generation of reducing carbon centered isopropanol radicals via the reaction of triplet acetone with isopropanol. While the direct photolysis of GO dispersions easily leads to degradation of the carbon lattice of GO and thus to a relatively low electric conductivity of the films of flakes, our indirect photoreduction of GO instead largely avoids the formation of defects, keeping the carbon lattice intact. Mechanisms of the direct and indirect photoreduction of GO have been elucidated and compared. Raman spectroscopy, XPS and conductivity measurements prove the efficiency of the indirect photoreduction in comparison with the state-of-the-art reduction method for GO (hydriodic acid/trifluoroacetic acid). The rapid reduction times and water solvent containing only small amounts of isopropanol and acetone may allow easy process up-scaling for technical applications and low-energy consumption.

Graphical abstract: High quality reduced graphene oxide flakes by fast kinetically controlled and clean indirect UV-induced radical reduction

Supplementary files

Article information

Article type
Paper
Submitted
07 Jan 2016
Accepted
25 Feb 2016
First published
26 Feb 2016

Nanoscale, 2016,8, 7572-7579

Author version available

High quality reduced graphene oxide flakes by fast kinetically controlled and clean indirect UV-induced radical reduction

R. Flyunt, W. Knolle, A. Kahnt, C. E. Halbig, A. Lotnyk, T. Häupl, A. Prager, S. Eigler and B. Abel, Nanoscale, 2016, 8, 7572 DOI: 10.1039/C6NR00156D

To request permission to reproduce material from this article, please go to the Copyright Clearance Center request page.

If you are an author contributing to an RSC publication, you do not need to request permission provided correct acknowledgement is given.

If you are the author of this article, you do not need to request permission to reproduce figures and diagrams provided correct acknowledgement is given. If you want to reproduce the whole article in a third-party publication (excluding your thesis/dissertation for which permission is not required) please go to the Copyright Clearance Center request page.

Read more about how to correctly acknowledge RSC content.

Social activity

Spotlight

Advertisements