Issue 4, 2005

The hydrogenation of nitrobenzene to aniline: a new mechanism

Abstract

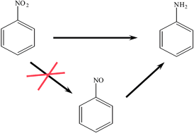
The Haber mechanism describing the process of hydrogenating nitrobenzene to aniline is shown to be incorrect and a new mechanism is proposed.

Graphical abstract: The hydrogenation of nitrobenzene to aniline: a new mechanism

Article information

Article type
Communication
Submitted
29 Jul 2004
Accepted
08 Oct 2004
First published
02 Dec 2004

Chem. Commun., 2005, 522-524

The hydrogenation of nitrobenzene to aniline: a new mechanism

E. A. Gelder, S. D. Jackson and C. M. Lok, Chem. Commun., 2005, 522 DOI: 10.1039/B411603H

To request permission to reproduce material from this article, please go to the Copyright Clearance Center request page.

If you are an author contributing to an RSC publication, you do not need to request permission provided correct acknowledgement is given.

If you are the author of this article, you do not need to request permission to reproduce figures and diagrams provided correct acknowledgement is given. If you want to reproduce the whole article in a third-party publication (excluding your thesis/dissertation for which permission is not required) please go to the Copyright Clearance Center request page.

Read more about how to correctly acknowledge RSC content.

Social activity

Spotlight

Advertisements