Ultrasound promoted Suzuki cross-coupling reactions in ionic liquid at ambient conditions
Abstract
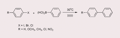
Palladium catalyzed Suzuki cross-coupling reactions of halobenzenes including
- This article is part of the themed collection: ChemComm 60th Anniversary Historic Papers from India
Please wait while we load your content...