Issue 10, 2013

Hydrogen-bonding controlled rigidity of an isoindoline-derived nitroxide spin label for nucleic acids

Abstract

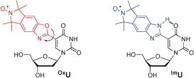
Nucleosides spin-labelled with isoindoline-derived benzimidazole (ImU) and benzoxazole (OxU) moieties were synthesized and incorporated into DNA oligonucleotides. Both labels display limited mobility in duplex DNA but ImU was less mobile, which was attributed to an intramolecular hydrogen bond between the N–H of the imidazole and O4 of the uracil nucleobase.

Graphical abstract: Hydrogen-bonding controlled rigidity of an isoindoline-derived nitroxide spin label for nucleic acids

Supplementary files

Article information

Article type
Communication
Submitted
02 Sep 2012
Accepted
21 Nov 2012
First published
19 Dec 2012

Chem. Commun., 2013,49, 999-1001

Hydrogen-bonding controlled rigidity of an isoindoline-derived nitroxide spin label for nucleic acids

D. B. Gophane and S. Th. Sigurdsson, Chem. Commun., 2013, 49, 999 DOI: 10.1039/C2CC36389E

To request permission to reproduce material from this article, please go to the Copyright Clearance Center request page.

If you are an author contributing to an RSC publication, you do not need to request permission provided correct acknowledgement is given.

If you are the author of this article, you do not need to request permission to reproduce figures and diagrams provided correct acknowledgement is given. If you want to reproduce the whole article in a third-party publication (excluding your thesis/dissertation for which permission is not required) please go to the Copyright Clearance Center request page.

Read more about how to correctly acknowledge RSC content.

Social activity

Spotlight

Advertisements