Issue 4, 2026

A simultaneous synergistic protection mechanism in hybrid perovskite–organic multi-junctions enables long-term stable and efficient tandem solar cells

Abstract

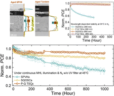
Perovskite–organic tandem solar cells (P–O TSCs) hold great promise for next-generation thin-film photovoltaics, with steadily improving power conversion efficiency (PCE). However, the development of optimal interconnecting layers (ICLs) remains one major challenge for further efficiency gains, and progress in understanding the improved long-term stability of P–O tandem configuration has been lagging. In this study, we experimentally investigate the enhanced stability of p–i–n P–O TSCs employing a simplified C60/atomic-layer-deposition (ALD) SnOx/PEDOT:PSS ICL without an additional charge recombination layer (CRL), which achieve an averaged efficiency of 25.12% and a hero efficiency of 25.5%. Our finding discovers that the recrystallization of C60, a widely used electron transport layer in perovskite photovoltaics, leads to the formation of grain boundaries during operation, which act as preferential migration channels for the interdiffusion of halide and Ag ions. Critically, we demonstrate for the first time that the tandem device architecture, incorporating organic semiconductor layers, effectively suppresses the bi-directional ion diffusion and mitigates electrode corrosion. Thus, the P–O TSC establishes a mutual protection system: the organic layers stabilize the perovskite sub-cell by suppressing ion diffusion-induced degradation, and the perovskite layer shields the organic sub-cell from spectrally induced degradation. The simultaneous synergistic protection mechanism enables P–O TSCs to achieve exceptional long-term operational stability, retaining over 91% of their initial efficiency after 1000 hours of continuous metal–halide lamp illumination, and to exhibit minimal fatigue after 86 cycles (2067 hours) of long-term diurnal (12/12-hour) testing. These results demonstrate that tandem cells significantly outperform their single-junction counterparts in both efficiency and stability.

Graphical abstract: A simultaneous synergistic protection mechanism in hybrid perovskite–organic multi-junctions enables long-term stable and efficient tandem solar cells

Supplementary files

Article information

Article type
Paper
Submitted
12 Sep 2025
Accepted
20 Nov 2025
First published
25 Nov 2025
This article is Open Access
Creative Commons BY license

Energy Environ. Sci., 2026,19, 1137-1147

A simultaneous synergistic protection mechanism in hybrid perovskite–organic multi-junctions enables long-term stable and efficient tandem solar cells

C. Liu, K. Zhang, X. Zhou, M. Wu, P. Weitz, S. Qiu, A. Vincze, Y. Bai, M. A. Anderson, J. Frisch, R. G. Wilks, M. Bär, Z. Peng, C. Li, J. Tian, J. Zhang, J. Wu, J. Englhard, T. Heumüller, J. Hauch, Y. Huang, N. Li, J. Bachmann, E. Spiecker and C. J. Brabec, Energy Environ. Sci., 2026, 19, 1137 DOI: 10.1039/D5EE05397H

This article is licensed under a Creative Commons Attribution 3.0 Unported Licence. You can use material from this article in other publications without requesting further permissions from the RSC, provided that the correct acknowledgement is given.

Read more about how to correctly acknowledge RSC content.

Social activity

Spotlight

Advertisements