Ostwald's rule and enantiotropy: polymorph appearance in the crystallisation of p-aminobenzoic acid
Abstract
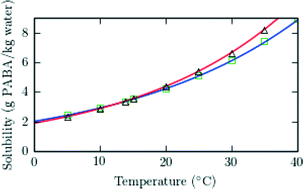
The development of rational crystallisation strategies in polymorphic systems requires the experimental manipulation of both kinetics and thermodynamics. We show for the first time the results of the interplay between these competing driving forces in an enantiotropic system, p-aminobenzoic acid. The outcomes are unexpected with temperature having no impact.
- This article is part of the themed collections: Editor’s Collection: Polymorphism in Molecular Crystals and Polymorphism
Please wait while we load your content...