Pre-yielding mechanical response near the jamming transition
Abstract
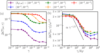
The mechanical and rheological properties of jammed packings of frictionless particles under shear strain remain not fully understood, even when the strain amplitude is very small and well below the yielding threshold. Systems above the jamming transition point φJ are known to display two anomalous mechanical behaviors with respect to the driving frequency ω (or time t) and the strain amplitude γ. In the linear-response regime (γ → 0), the complex modulus exhibits an algebraic scaling, G(ω) ∼ ω1/2 (or G(t) ∼ t−1/2 in the time representation). In contrast, in the quasi-static limit (ω → 0), the modulus shows the nonlinear behavior, G(γ) ∼ γ−1/2, a phenomenon referred to as softening. The ranges of ω and γ over which these algebraic scalings hold broaden as φJ is approached from above, whereas both G(ω) and G(γ) vanish for φ < φJ. In this study, we investigate the mechanical response in the regime where these two anomalies coexist in the vicinity of φJ. To this end, we perform numerical analyses using two rheological protocols: oscillatory shear and transient stress relaxation. Our results demonstrate that the mechanical responses are not simply described as a superposition of the two algebraic relaxations and instead exhibit rich nonlinear viscoelastic behavior both above and even below φJ.
- This article is part of the themed collection: Soft Matter Open Access Spotlight 2026

Please wait while we load your content...