Issue 52, 2017

Amino acid functionalisation using the 2-phosphaethynolate anion. A facile route to (phosphanyl)carbonyl-amino acids

Abstract

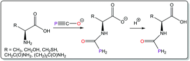
We describe the reactivity of the 2-phosphaethynolate anion (PCO) towards enantiomerically pure α-amino acids (AAs) resulting in the formation of novel salts of phosphinecarboxamides bearing chiral functionalities. These transformations occurred quantitatively with all but one of the amino acids trialled (the basic amino acid arginine was found to be unreactive). The resulting ionic species can be readily protonated to afford N-(phosphanyl)carbonyl-amino acids, a novel group of amino acids bearing primary phosphine functionalities.

Graphical abstract: Amino acid functionalisation using the 2-phosphaethynolate anion. A facile route to (phosphanyl)carbonyl-amino acids

Supplementary files

Article information

Article type
Communication
Submitted
17 Feb 2017
Accepted
07 Jun 2017
First published
08 Jun 2017

Chem. Commun., 2017,53, 7092-7095

Amino acid functionalisation using the 2-phosphaethynolate anion. A facile route to (phosphanyl)carbonyl-amino acids

E. N. Faria, A. R. Jupp and J. M. Goicoechea, Chem. Commun., 2017, 53, 7092 DOI: 10.1039/C7CC01285C

To request permission to reproduce material from this article, please go to the Copyright Clearance Center request page.

If you are an author contributing to an RSC publication, you do not need to request permission provided correct acknowledgement is given.

If you are the author of this article, you do not need to request permission to reproduce figures and diagrams provided correct acknowledgement is given. If you want to reproduce the whole article in a third-party publication (excluding your thesis/dissertation for which permission is not required) please go to the Copyright Clearance Center request page.

Read more about how to correctly acknowledge RSC content.

Social activity

Spotlight

Advertisements