Synthesis of imidazo[1,2-a]pyridines: a decade update
Abstract
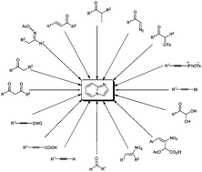
Imidazopyridine is one of the important fused bicyclic 5–6 heterocycles and it is recognized as a “drug prejudice” scaffold due to its wide range of applications in medicinal chemistry. This moiety is also useful in material science because of its structural character. Synthesis of this moiety from the easily available chemicals is desirable due to its tremendous use in the various branches of chemistry. Here we report a review on the synthesis of this scaffold employing different strategies such as condensation, multicomponent reactions, oxidative coupling, tandem reactions, aminooxygenation, and hydroamination reactions.
- This article is part of the themed collections: 20th Anniversary of the CRSI: Celebrating Indian Chemistry in ChemComm and ChemComm 60th Anniversary Historic Papers from India
Please wait while we load your content...