Abstract
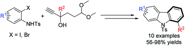
A simple and efficient method for the synthesis of disubstituted carbazoles has been developed. In this approach, carbazoles are synthesized from o-haloanilines and terminal alkynes using a two-step strategy, namely, Sonogashira coupling and intramolecular cyclization to provide indoles, which are followed by a p-TSA·H2O-catalyzed carbazole formation.
- This article is part of the themed collection: Celebrating the 80th Birthday of Professor Ei-ichi Negishi
Please wait while we load your content...