Abstract
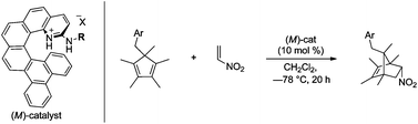
The periselective Diels–Alder reaction of 5-substituted pentamethylcyclopentadienes and
- This article is part of the themed collection: Organocatalysis
* Corresponding authors
a
Department of Chemistry, University of Miami, 1301 Memorial Drive, Coral Gables, FL 33146-0431, USA
E-mail:
n.takenaka@miami.edu
Fax: +1 305 284 4571
Tel: +1 305 284 3279
b Current address: Department of Chemistry & Vanderbilt Institute of Chemical Biology, Vanderbilt University, Nashville, TN 37235-1822, USA
The periselective Diels–Alder reaction of 5-substituted pentamethylcyclopentadienes and
Please wait while we load your content...
Something went wrong. Try again?
M. J. Narcis, D. J. Sprague, B. Captain and N. Takenaka, Org. Biomol. Chem., 2012, 10, 9134 DOI: 10.1039/C2OB26674A
To request permission to reproduce material from this article, please go to the Copyright Clearance Center request page.
If you are an author contributing to an RSC publication, you do not need to request permission provided correct acknowledgement is given.
If you are the author of this article, you do not need to request permission to reproduce figures and diagrams provided correct acknowledgement is given. If you want to reproduce the whole article in a third-party publication (excluding your thesis/dissertation for which permission is not required) please go to the Copyright Clearance Center request page.
Read more about how to correctly acknowledge RSC content.
Fetching data from CrossRef.
This may take some time to load.
Loading related content