Recent advances in the synthesis and applications of fluoranthenes
Abstract
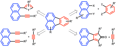
As an important subclass of polycyclic aromatic hydrocarbons (PAHs), fluoranthenes continue to attract significant attention in synthetic organic chemistry and materials science. In this article, an overview of recent advances in the synthesis of fluoranthene derivatives along with selected applications is provided. First, methods for fluoranthene synthesis with a classification based on strategic bond disconnections are discussed. Then, the total syntheses of natural products featuring the benzo[j]fluoranthene skeleton are covered. Finally, examples of important applications of a variety of fluoranthenes are summarized.

Please wait while we load your content...