Simultaneous enhancement of thermoelectric performance and mechanical properties in lead-free cubic GeTe-based composite materials
Abstract
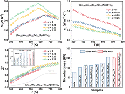
GeTe is a promising mid-temperature thermoelectric material that exhibits excellent thermoelectric performance. However, the rhombohedral-to-cubic phase transition occurring near 700 K causes a change in the coefficient of thermal expansion, leading to internal stresses in the device and affecting its working efficiency. In this work, we reported the alloying of Ge0.81Mn0.15Bi0.04Te with AgSbTe2 to further reduce the phase transition temperature and optimize thermoelectric performance. The co-doping of Ag and Mn increased the effective mass of the density of states, resulting in an enhancement of the Seebeck coefficient. Moreover, the lattice thermal conductivity decreased due to the combined effects of various phonon scattering mechanisms. After alloying with AgSbTe2, the average ZTave value increased to 1.18 from 300 K to 773 K in cubic (Ge0.81Mn0.15Bi0.04Te)0.8(AgSbTe2)0.2 and, simultaneously, the Vickers microhardness was enhanced from 243 HV to 283 HV.
- This article is part of the themed collection: Journal of Materials Chemistry A HOT Papers