A diarsagermylene and a diarsastannylene stabilised by arene⋯Ge/Sn interactions†
Abstract
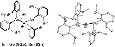
The synthesis and structures of two new diarsatetrylenes {(Dipp)2As}2E are presented [E = Ge, Sn; Dipp = 2,6-diisopropylphenyl]. The high barrier to planarisation of As prevents stabilisation by As–E π-interactions; however, arene⋯Ge/Sn interactions stabilise these compounds by up to 181.4 kJ mol−1. This represents a new stabilisation mode for this class of compounds.
- This article is part of the themed collection: Philip Power at 65: an icon of organometallic chemistry

Please wait while we load your content...