Issue 24, 2002

Fluorination of sulfanyl amides using difluoroiodoarene reagents

Abstract

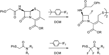
A range of sulfur-containing amides have been fluorinated with the hypervalent iodine difluoride reagents 1, and two principal reaction pathways identified. Cephalosporin esters 2 having a heteroatom in the α-position to sulfur undergo fluorination in DCM with cleavage of the carbon–sulfur bond to form novel fluorinated β-lactams 4. Sulfides with electron-withdrawing groups in the α-position undergo α-fluorination in a process analogous to the classical Pummerer reaction. This Fluoro-Pummerer reaction has been exemplified for a range of simple α-phenylsulfanylacetamides 14–19. When β-hydrogens are present in the substrate a different route is followed, with deprotonation by basic fluoride taking place to yield vinyl sulfides 41–43. When an excess of the fluorinating reagent is used these vinyl sulfides can undergo further reaction in a novel tandem Pummerer-Additive-Pummerer process to yield α,β-difluoro sulfides 45–47.

Graphical abstract: Fluorination of sulfanyl amides using difluoroiodoarene reagents

Supplementary files

Article information

Article type
Paper
Submitted
18 Sep 2002
Accepted
06 Nov 2002
First published
22 Nov 2002

J. Chem. Soc., Perkin Trans. 1, 2002, 2816-2826

Fluorination of sulfanyl amides using difluoroiodoarene reagents

W. B. Motherwell, M. F. Greaney, J. J. Edmunds and J. W. Steed, J. Chem. Soc., Perkin Trans. 1, 2002, 2816 DOI: 10.1039/B209078C

To request permission to reproduce material from this article, please go to the Copyright Clearance Center request page.

If you are an author contributing to an RSC publication, you do not need to request permission provided correct acknowledgement is given.

If you are the author of this article, you do not need to request permission to reproduce figures and diagrams provided correct acknowledgement is given. If you want to reproduce the whole article in a third-party publication (excluding your thesis/dissertation for which permission is not required) please go to the Copyright Clearance Center request page.

Read more about how to correctly acknowledge RSC content.

Spotlight

Advertisements