Exploring double perovskites Cs2AgSbX6 (X = Cl, Br, and I) as promising optoelectronic and thermoelectric materials: a first-principles study†
Abstract
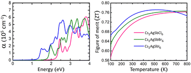
Perovskite compounds have been well explored, and they are suitable for solar energy as well as thermoelectric applications. Herein, we present the structural, electronic, optical, thermoelectric, and elastic properties of Cs2AgSbX6 (X = Cl, Br, and I) perovskites with the help of density functional theory (DFT). The Wu-Cohen generalized gradient approximation (WC-GGA) and Perdew–Burke–Ernzerhof GGA (PBE-GGA) were used to calculate the structural parameters. According to the cohesive energy, phonon spectrum, and AIMD simulation results, Cs2AgSbX6 demonstrated good thermodynamic, dynamical, and thermal stabilities. The compounds exhibited an indirect band gap according to the band structure results obtained via the PBE and Heyd–Scuseria–Ernzerhof (HSE06) functionals. The band gap were 2.28, 1.63, and 0.99 eV for Cs2AgSbCl6, Cs2AgSbBr6, and Cs2AgSbI6, respectively. Optical absorption (6.05 × 105 cm−1) and spectroscopic limited maximum efficiency (SLME > 30%) calculations revealed that Cs2AgSbI6 worked effectively in the visible range. The figure of merit (ZT) calculations showed an increasing trend with increasing temperature. The maximum values were ∼0.77 (500 K), 0.76 (700 K), and 0.76 (750 K) for Cs2AgSbCl6, Cs2AgSbBr6 and Cs2AgSbI6, respectively. The elastic stability for the selected compounds was confirmed via “Born stability criteria” and found well consistent with the values for cubic materials. Further, Cauchy's pressure (C12 − C44) and Pugh's ratio (B/G) indicated the ductile nature of these compounds. The appropriate band gap, optimum ZT, and thermal and mechanical stabilities suggest the suitability of these compounds for use in optoelectronic and thermoelectric applications.

Please wait while we load your content...