Issue 45, 2016

Unravelling the fundamentals of thermal and chemical expansion of BaCeO3 from first principles phonon calculations

Abstract

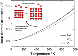
Differentiating chemical and thermal expansion is virtually impossible to achieve experimentally. While thermal expansion stems from a softening of the phonon spectra, chemical expansion depends on the chemical composition of the material. In the present contribution, we, for the first time, completely decouple thermal and chemical expansion through first principles phonon calculations on BaCeO3, providing new fundamental insights to lattice expansion. We assess the influence of defects on thermal expansion, and how this in turn affects the interpretation of chemical expansion and defect thermodynamics. The calculations reveal that the linear thermal expansion coefficient is lowered by the introduction of oxygen vacancies being 10.6 × 10−6 K−1 at 300 K relative to 12.2 × 10−6 K−1 for both the protonated and defect-free bulk lattice. We further demonstrate that the chemical expansion coefficient upon hydration varies with temperature, ranging from 0.070 to 0.115 per mole oxygen vacancy. Ultimately, we find that, due to differences in the thermal expansion coefficients under dry and wet conditions, the chemical expansion coefficients determined experimentally are grossly underestimated – around 55% lower in the case of 10 mol% acceptor doped BaCeO3. Lastly, we evaluate the effect of these volume changes on the vibrational thermodynamics.

Graphical abstract: Unravelling the fundamentals of thermal and chemical expansion of BaCeO3 from first principles phonon calculations

Article information

Article type
Paper
Submitted
17 Aug 2016
Accepted
19 Oct 2016
First published
19 Oct 2016
This article is Open Access
Creative Commons BY-NC license

Phys. Chem. Chem. Phys., 2016,18, 31296-31303

Unravelling the fundamentals of thermal and chemical expansion of BaCeO3 from first principles phonon calculations

A. Løken, R. Haugsrud and T. S. Bjørheim, Phys. Chem. Chem. Phys., 2016, 18, 31296 DOI: 10.1039/C6CP05710A

This article is licensed under a Creative Commons Attribution-NonCommercial 3.0 Unported Licence. You can use material from this article in other publications, without requesting further permission from the RSC, provided that the correct acknowledgement is given and it is not used for commercial purposes.

To request permission to reproduce material from this article in a commercial publication, please go to the Copyright Clearance Center request page.

If you are an author contributing to an RSC publication, you do not need to request permission provided correct acknowledgement is given.

If you are the author of this article, you do not need to request permission to reproduce figures and diagrams provided correct acknowledgement is given. If you want to reproduce the whole article in a third-party commercial publication (excluding your thesis/dissertation for which permission is not required) please go to the Copyright Clearance Center request page.

Read more about how to correctly acknowledge RSC content.

Social activity

Spotlight

Advertisements